Login
Photos Miscellaneous Images FDA Inspection and Order to Cease Manufacturing FDA Order to Cease Manufacturing - 01-Nov-2010

FDA Order to Cease Manufacturing - 01-Nov-2010

Date: 11/02/2010
Size: 8 items
E-mail regarding Cease Manufacturing Order Effective Date - Received 12-Nov-2010

E-mail regarding Cease Manufacturing Order Effective Date - Received 12-Nov-2010

E-mail regarding Cease Manufacturing Order Effective Date - Received 12-Nov-2010

Date: 12/06/2010
Views: 8298
Download Photo (2550 x 3300)
no thumbnail

E-mail regarding Cease Manufacturing Order Effective Date - Received 12-Nov-2010 (PDF)

Date: 12/06/2010
Views: 3441
FDA Order to Cease Manufacturing - 01-Nov-2010 - Page 1 of 5

FDA Order to Cease Manufacturing - 01-Nov-2010 - Page 1 of 5

FDA Order to Cease Manufacturing - 01-Nov-2010 - Page 1 of 5

Date: 11/02/2010
Views: 8464
Download Photo (2550 x 3300)
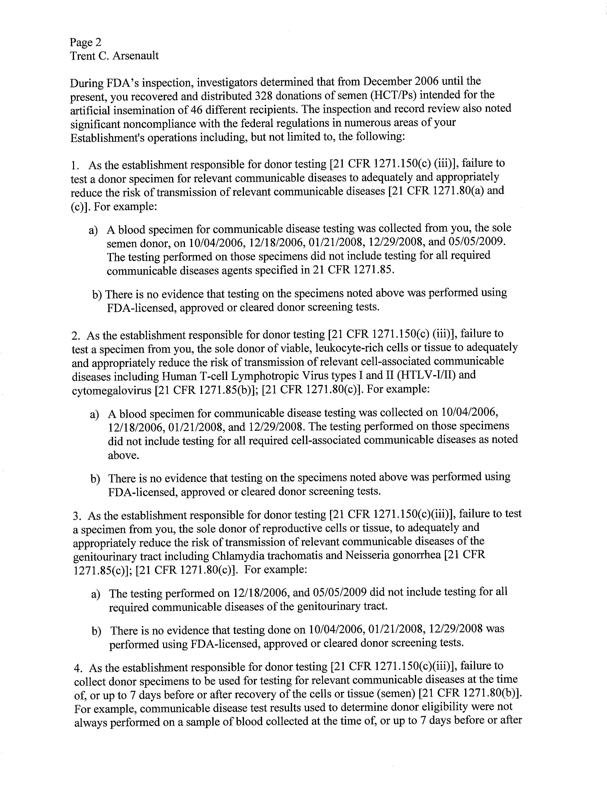
FDA Order to Cease Manufacturing - 01-Nov-2010 - Page 2 of 5

FDA Order to Cease Manufacturing - 01-Nov-2010 - Page 2 of 5

FDA Order to Cease Manufacturing - 01-Nov-2010 - Page 2 of 5

Date: 11/02/2010
Views: 8367
Download Photo (2550 x 3300)
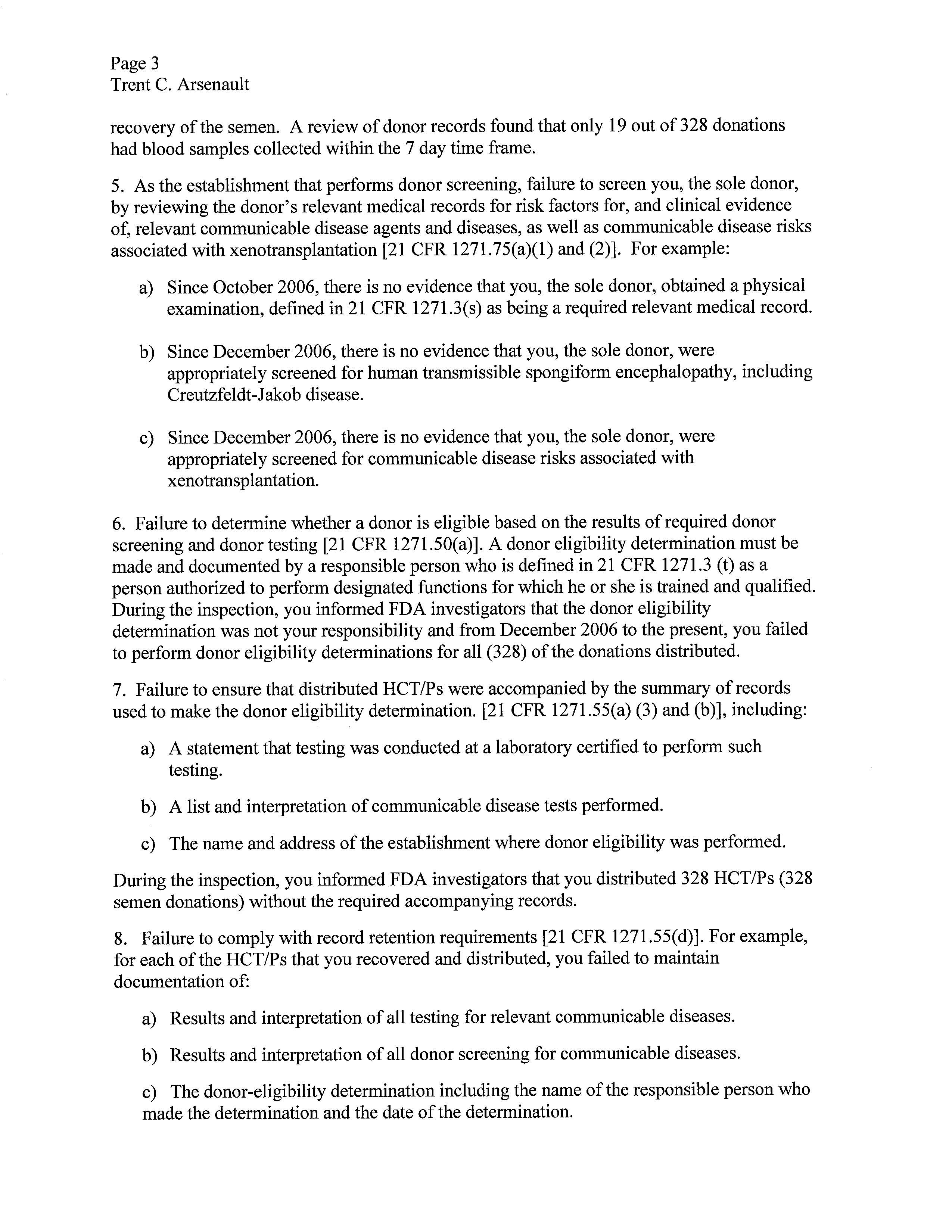
FDA Order to Cease Manufacturing - 01-Nov-2010 - Page 3 of 5

FDA Order to Cease Manufacturing - 01-Nov-2010 - Page 3 of 5

FDA Order to Cease Manufacturing - 01-Nov-2010 - Page 3 of 5

Date: 11/02/2010
Views: 7723
Download Photo (2550 x 3300)
FDA Order to Cease Manufacturing - 01-Nov-2010 - Page 4 of 5

FDA Order to Cease Manufacturing - 01-Nov-2010 - Page 4 of 5

FDA Order to Cease Manufacturing - 01-Nov-2010 - Page 4 of 5

Date: 11/02/2010
Views: 7930
Download Photo (2550 x 3300)
FDA Order to Cease Manufacturing - 01-Nov-2010 - Page 5 of 5

FDA Order to Cease Manufacturing - 01-Nov-2010 - Page 5 of 5

FDA Order to Cease Manufacturing - 01-Nov-2010 - Page 5 of 5

Date: 11/02/2010
Views: 7872
Download Photo (2550 x 3300)
no thumbnail

PDF of Order to cease manufacturing

Date: 11/02/2010
Views: 3625
 
Page: 1
Powered by Gallery v2.3